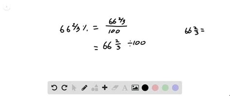
66 2 3 of 3300
66 2 3 of 3300. There are some references to 66 2 3 of 3300 in this article. If you are looking for 66 2 3 of 3300 you've came to the right place. We have posts about 66 2 3 of 3300. You can check it out below.
Showing posts matching the search for 66 2 3 of 3300Blog Archive
-
▼
2023
(59)
-
▼
May
(24)
- Coloriage Zoo à Imprimer
- Coloriage Camion De Police
- Coloriage Mario Carte A Imprimer
- Coloriage Licorne Et Princesse à Imprimer
- Livre De Coloriage Adulte à Imprimer Pdf
- Coloriage Fruits Et Légumes Maternelle Pdf
- Coloriage Star Wars Mandalorian
- Coloriage à Imprimer Sirene
- Coloriage En Ligne Dora
- Coloriage En Ligne Ado
- Coloriage Ville New York
- Coloriage Bateau En Ligne
- Coloriage One Piece Sanji
- Coloriage Lol Avec Modele
- Coloriage Fille Pdf A Imprimer
- Coloriage Oiseau Qui Chante
- Coloriage Pour Fille Online
- Coloriage à Imprimer Pokemon Tortue
- Livre De Coloriage Reine Des Neiges Prix
- Coloriage One Piece Wanted Sanji
- Coloriage Pour Garçon Voiture
- Coloriage Janvier à Imprimer
- Peppa Pig En Coloriage
- Coloriage Ours La Moufle
-
▼
May
(24)
Total Pageviews
Search This Blog
Powered by Blogger.
